A 1,2-Wittig rearrangement is a categorization of chemical reactions in organic chemistry, and consists of a 1,2-rearrangement of an ether with an alkyllithium compound.[1] The reaction is named for Nobel Prize winning chemist Georg Wittig.[2][3]
The intermediate is an alkoxy lithium salt, and the final product an alcohol. When R" is a good leaving group and electron withdrawing group such as a cyanide (CN) group,[4] this group is eliminated and the corresponding ketone is formed.
Reaction mechanism
The reaction mechanism centers on the formation of a free radical pair with lithium migrating from the carbon atom to the oxygen atom. The R radical then recombines with the ketyl.[5]

The alkyl group migrates in the order of thermodynamical stability methyl < primary alkyl < secondary alkyl < tertiary alkyl, this is in line with the radical mechanism. The radical-ketyl pair is short lived and due to a solvent cage effect some isomerizations take place with retention of configuration.
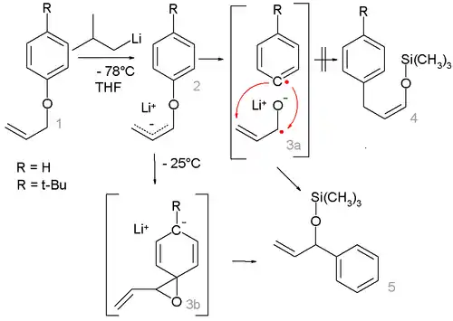
With certain allyl aryl ethers a competing reaction takes place.[5] The reaction of allyl phenyl ether 1 with sec-butyllithium at −78 °C gives the lithiated intermediate 2 which on heating to −25 °C only shows the rearranged product 5 but not 4 after trapping the lithium alkoxide with trimethylsilyl chloride. This result rules out a radical-ketyl intermediate 3a in favor of the Meisenheimer complex 3b. Additional evidence for this mechanism is provided by the finding that with a para tert-butyl substituent the reaction is retarded.

The reaction is a formal dyotropic reaction.
See also
- The 1,3-Wittig rearrangement
- The 2,3-Wittig rearrangement
- The Smiles rearrangement
References
- ↑ Smith, Michael B.; March, Jerry (2006). March's Advanced Organic Chemistry: Reactions, Mechanisms, and Structure. pp. 1624–1625. doi:10.1002/0470084960. ISBN 9780470084960.
- ↑ Georg Wittig, L. Löhmann, Ann. 550, 260 (1942)
- ↑ G. Wittig, Experientia 14, 389 (1958)
- ↑ Preparation of aryl benzyl ketones by [1,2]-Wittig rearrangement Alan R. Katritzky, Yuming Zhang, Sandeep K. Singh Arkivoc pp. 146–50 2002 (vii) link Archived 28 September 2006 at the Wayback Machine
- 1 2 Wittig Rearrangement of Lithiated Allyl Aryl Ethers: A Mechanistic Study Sven Strunk, Manfred Schlosser European Journal of Organic Chemistry Volume 2006, Issue 19 , pp. 4393–97 doi:10.1002/ejoc.200600304