1,3,5-Triazido-2,4,6-trinitrobenzene
Skeletal formula of TATNB
Space-filling model of the TATNB molecule
Names
Preferred IUPAC name
1,3,5-Triazido-2,4,6-trinitrobenzene
Identifiers
3D model (JSmol)
Abbreviations TATNB
ChemSpider
MeSH C043826
UNII
  • InChI=1S/C6N12O6/c7-13-10-1-4(16(19)20)2(11-14-8)6(18(23)24)3(12-15-9)5(1)17(21)22 checkY
    Key: LIPDUIOSIFXENT-UHFFFAOYSA-N checkY
  • InChI=1/C6N12O6/c7-13-10-1-4(16(19)20)2(11-14-8)6(18(23)24)3(12-15-9)5(1)17(21)22
    Key: LIPDUIOSIFXENT-UHFFFAOYAO
  • O=[N+](c1c(N=[N+]=[N-])c([N+]([O-])=O)c(N=[N+]=[N-])c([N+]([O-])=O)c1N=[N+]=[N-])[O-]
  • c1(c(c(c(c(c1[N+](=O)[O-])N=[N+]=[N-])[N+](=O)[O-])N=[N+]=[N-])[N+](=O)[O-])N=[N+]=[N-]
Properties
C6N12O6
Molar mass 336.144 g·mol−1
Appearance yellow crystals[1]
Melting point 131 °C[2]
Structure[1]
monoclinic
P21/c, No. 14
Thermochemistry[1]
765.8 kJ/mol
3200 kJ/mol
Explosive data
Detonation velocity 7350 m/s
Except where otherwise noted, data are given for materials in their standard state (at 25 °C [77 °F], 100 kPa).
☒N verify (what is checkY☒N ?)
Infobox references

1,3,5-Triazido-2,4,6-trinitrobenzene, also known as TATNB (triazidotrinitrobenzene) and TNTAZB (trinitrotriazidobenzene), is an aromatic high explosive composed of a benzene ring with three azido groups (-N3) and three nitro groups (-NO2) alternating around the ring, giving the chemical formula C6(N3)3(NO2)3. Its detonation velocity is 7,350 meters per second, which is comparable to TATB (triaminotrinitrobenzene).

Preparation

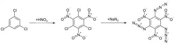
The compound was first synthesized in 1924 by Oldřich Turek.[3] It can be prepared by the reaction of 1,3,5-trichloro-2,4,6-trinitrobenzene with sodium azide. 1,3,5-trichloro-2,4,6-trinitrobenzene is obtained from the nitration of 1,3,5-trichlorobenzene with nitric acid and sulfuric acid.[3]

Synthesis of 1,3,5-triazido-2,4,6-trinitrobenzene from 1,3,5-trichlorobenzene

Another route uses the nitration of 1,3,5-triazido-2,4-dinitrobenzene.[1]

Properties

Chemical Properties

Even at low temperatures, the compound slowly decomposes by giving off nitrogen gas, converting into benzotrifuroxan. This reaction proceeds quantitatively within 14 hours at 100 °C.[3] As a solution in m-xylene, first order kinetics were observed for the decomposition, with a half-life of 340 minutes at 70 °C, 89 minutes at 80 °C, and 900 seconds at 100 °C.[4]

Decomposition of 1,3,5-triazido-2,4,6-trinitrobenzene

The compound explodes if rapidly heated above 168 °C.[1]

References

  1. 1 2 3 4 5 Adam, David; Karaghiosoff, Konstantin; Klapötke, Thomas M.; Holl, Gerhard; Kaiser, Manfred (2002). "Triazidotrinitro Benzene: 1,3,5-(N3)3-2,4,6-(NO2)3C6". Propellants Explos. Pyrotech. 27 (1): 7–11. doi:10.1002/1521-4087(200203)27:1<7::AID-PREP7>3.0.CO;2-J.
  2. Burov, Yu. M.; Nazin, G. M.; Manelis, G. B. (1999). "Retardation of Monomolecular Reactions in the Solid Phase". Russian Chemical Bulletin. 48 (7): 1250–1254. doi:10.1007/BF02495284. S2CID 95970971.
  3. 1 2 3 Matyáš, Robert; Pachman, Jiří (2013). Primary Explosives. Springer Science & Business Media. pp. 118–121. ISBN 9783642284366.
  4. Korsunskii, B. L.; Apina, T. A. (1971). "Kinetics of the Thermal Decomposition of 1,3,5-Triazido-2,4,6-trinitrobenzene in Solution". Bulletin of the Academy of Sciences of the USSR, Division of Chemical Science. 20 (9): 1971–1973. doi:10.1007/BF00854439.
This article is issued from Wikipedia. The text is licensed under Creative Commons - Attribution - Sharealike. Additional terms may apply for the media files.