![]() | |
Names | |
---|---|
Preferred IUPAC name
1,4,7-Trimethyl-1,4,7-triazonane | |
Other names
| |
Identifiers | |
3D model (JSmol) |
|
ChemSpider | |
ECHA InfoCard | 100.119.348 |
EC Number |
|
PubChem CID |
|
UNII | |
CompTox Dashboard (EPA) |
|
| |
| |
Properties | |
C9H21N3 | |
Molar mass | 171.288 g·mol−1 |
Appearance | Colorless oil |
Boiling point | 207.8 °C (406.0 °F; 480.9 K) |
Hazards | |
GHS labelling: | |
![]() ![]() | |
Danger | |
H314 | |
P260, P264, P270, P280, P301+P312, P301+P330+P331, P303+P361+P353, P304+P340, P305+P351+P338, P310, P321, P330, P363, P405, P501 | |
Except where otherwise noted, data are given for materials in their standard state (at 25 °C [77 °F], 100 kPa).
Infobox references |
1,4,7-Trimethyl-1,4,7-triazacyclononane is the aza-crown ether with the formula (CH2CH2NCH3)3. This colorless liquid is the N-methylated derivative of triazacyclononane (TACN), a face-capping tridentate ligand that is popular in coordination chemistry.
Although TACN is known for forming 2:1 "sandwich" complexes with many metal ions,[1] corresponding 2:1 complexes of Me3TACN are only known for Ag+,[2] Na+,[3] and K+.[4] This effect is mainly due to the greater bulk of Me3TACN, which requires ions with a larger ionic radius to accommodate two ligands.
Several related derivatives have been prepared with diverse substituents on nitrogen.[5][6]
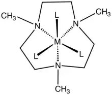
ML3.png.webp)
Generic octahedral metal complex of Me3TACN.
References
- ↑ Weighardt, Karl (1988). "1,4,7-Triazacyclononane and N,N',N"-Trimethyl-1,4,7-triazacyclononane - Two Versatile Macrocycles for the Synthesis of Monomeric and Oligomeric Metal Complexes". Pure and Applied Chemistry. 60 (4): 509–16. doi:10.1351/pac198860040509. S2CID 96871622.
- ↑ Stockheim, Claudia; Wieghardt, Karl; Nuber, Bernhard; Weiss, Johannes; Flöurke, Ulrich; Haupt, Hans-Jürgen (1991). "Co-ordination chemistry of 1,4,7-triazacyclononane (L) and its N-methylated derivative (L′) with silver( I ) and mercury( II ). The crystal structures of [AgL′ 2 ]PF 6 and [AgL′(SCN)]". J. Chem. Soc., Dalton Trans. (6): 1487–1490. doi:10.1039/DT9910001487. ISSN 0300-9246.
- ↑ Everett, Matthew; Jolleys, Andrew; Levason, William; Pugh, David; Reid, Gillian (2014). "Unexpected neutral aza-macrocycle complexes of sodium". Chemical Communications. 50 (44): 5843–6. doi:10.1039/c4cc01407c. ISSN 1359-7345. PMID 24759888.
- ↑ Dyke, John; Levason, William; Light, Mark E.; Pugh, David; Reid, Gillian; Bhakhoa, Hanusha; Ramasami, Ponnadurai; Rhyman, Lydia (2015). "Aza-macrocyclic complexes of the Group 1 cations – synthesis, structures and density functional theory study". Dalton Trans. 44 (31): 13853–13866. doi:10.1039/C5DT01865J. ISSN 1477-9226. PMID 26115444.
- ↑ Jason A. Halfen; William B. Tolman (1998). "C 2 -Symmetric 1,4-Diisopropyl-7- R -1,4,7-Triazacyclononanes". Inorganic Syntheses. Vol. 32. pp. 75–81. doi:10.1002/9780470132630.ch12. ISBN 9780470132630.
- ↑ Baker, M. V.; Brown, D. H.; Skelton, B. W.; White, A. H. (2002). "An Investigation into Alkenyl-Functionalized 1,4,7-Triazacyclononanes: Synthesis, Metal Complexation, and Attempted Olefin Metathesis". Australian Journal of Chemistry. 55 (10): 655. doi:10.1071/CH02063.
This article is issued from Wikipedia. The text is licensed under Creative Commons - Attribution - Sharealike. Additional terms may apply for the media files.