Amurensin A
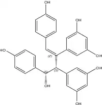
Chemical structure of amurensin A
Names
IUPAC name
5,5'-((3S,4S,Z)-4-hydroxy-1,4-bis(4-hydroxyphenyl)but-1-ene-2,3-diyl)bis(benzene-1,3-diol)
Identifiers
3D model (JSmol)
UNII
  • InChI=1S/C28H24O7/c29-20-5-1-16(2-6-20)9-26(18-10-22(31)14-23(32)11-18)27(19-12-24(33)15-25(34)13-19)28(35)17-3-7-21(30)8-4-17/h1-15,27-35H/b26-9+/t27-,28+/m0/s1
    Key: GCORPFHXPBERCR-WFRBMYQMSA-N
  • OC1=CC(/C([C@@H]([C@H](O)C2=CC=C(O)C=C2)C3=CC(O)=CC(O)=C3)=C\C4=CC=C(O)C=C4)=CC(O)=C1
Properties
C28H24O7
Molar mass 472.48 g/mol
Except where otherwise noted, data are given for materials in their standard state (at 25 °C [77 °F], 100 kPa).
Infobox references

Amurensin A is an oligostilbene isolated from the roots of Vitis amurensis.[1] It is a partially oxidized resveratrol dimer with a C8-C8' connection.[2]

References

  1. Huang, K. S.; Lin, M. (1999). "Oligostilbenes from the Roots of Vitis amurensis". Journal of Asian Natural Products Research. 2 (1): 21–28. doi:10.1080/10286029908039886. PMID 11261202.
  2. Natural stilbenes: an overview. Tao Shen, Xiao-Ning Wang and Hong-Xiang Lou, Nat. Prod. Rep.,2009, 26, pages 916-935, doi:10.1039/B905960A


This article is issued from Wikipedia. The text is licensed under Creative Commons - Attribution - Sharealike. Additional terms may apply for the media files.