Not to be confused with Placental.
![]() | |
![]() | |
Clinical data | |
---|---|
Other names | Dolcental |
Identifiers | |
| |
CAS Number |
|
ChemSpider |
|
UNII | |
CompTox Dashboard (EPA) | |
Chemical and physical data | |
Formula | C10H14N2O3 |
Molar mass | 210.233 g·mol−1 |
3D model (JSmol) | |
| |
|
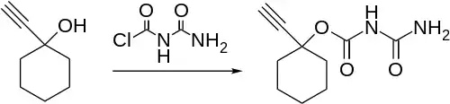
Clocental (dolcental) is a carbamate-derived sedative hypnotic. It can be prepared by the ethynylation of cyclohexanone followed by reaction with allophanyl chloride.[1]

Clocental synthesis
See also
References
Alcohols | |
---|---|
Barbiturates |
|
Benzodiazepines |
|
Carbamates | |
Flavonoids | |
Imidazoles | |
Kava constituents |
|
Monoureides |
|
Neuroactive steroids |
|
Nonbenzodiazepines | |
Phenols | |
Piperidinediones | |
Pyrazolopyridines | |
Quinazolinones | |
Volatiles/gases |
|
Others/unsorted |
|
See also: Receptor/signaling modulators • GABA receptor modulators • GABA metabolism/transport modulators |
This article is issued from Wikipedia. The text is licensed under Creative Commons - Attribution - Sharealike. Additional terms may apply for the media files.