Dilazep
Clinical data
Trade namesComelian Kowa
AHFS/Drugs.comInternational Drug Names
ATC code
Identifiers
  • 3-(4-{3-[(3,4,5-Trimethoxyphenyl)carbonyloxy]propyl}-1,4-diazepan-1-yl)propyl 3,4,5-trimethoxybenzoate
CAS Number
PubChem CID
IUPHAR/BPS
ChemSpider
UNII
KEGG
ChEBI
ChEMBL
CompTox Dashboard (EPA)
Chemical and physical data
FormulaC31H44N2O10
Molar mass604.697 g·mol−1
3D model (JSmol)
  • O=C(OCCCN2CCCN(CCCOC(=O)c1cc(OC)c(OC)c(OC)c1)CC2)c3cc(OC)c(OC)c(OC)c3
  • InChI=1S/C31H44N2O10/c1-36-24-18-22(19-25(37-2)28(24)40-5)30(34)42-16-8-12-32-10-7-11-33(15-14-32)13-9-17-43-31(35)23-20-26(38-3)29(41-6)27(21-23)39-4/h18-21H,7-17H2,1-6H3 checkY
  • Key:QVZCXCJXTMIDME-UHFFFAOYSA-N checkY
  (verify)

Dilazep is a vasodilator that acts as an adenosine reuptake inhibitor.[1][2]

It is used for the treatment of cardiopathy and renal disorders.[3]

Synthesis

Thieme Patent:[4] Prec (page 935):[5]

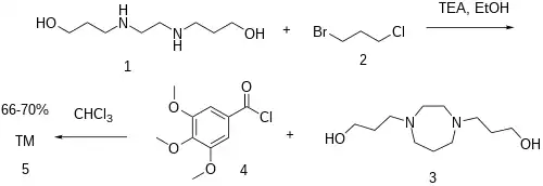
The reaction of bis-(3-hydroxypropyl)-ethylene diamine (1) with 1-Bromo-3-chloropropane (2) gives homopiperazine [19970-80-0] (3). Esterification by reaction with 3,4,5-Trimethoxybenzoyl Chloride [4521-61-3] (4) completed the synthesis of Dilazep (5).

See also

References

  1. Deguchi H, Takeya H, Wada H, Gabazza EC, Hayashi N, Urano H, Suzuki K (September 1997). "Dilazep, an antiplatelet agent, inhibits tissue factor expression in endothelial cells and monocytes". Blood. 90 (6): 2345–56. doi:10.1182/blood.V90.6.2345. PMID 9310485.
  2. PubChem. "Dilazep". pubchem.ncbi.nlm.nih.gov. Retrieved 2021-08-18.
  3. "Pharmaceuticals". Kowa Company Ltd.
  4. GB1107470 idem Herbert Arnold, Kurt Pahls, Rolf Rebling,Norbert Brock, Hans-Dieter Lenke, U.S. Patent 3,532,685 (1970 to Asta Werke Ag Chem Fab).
  5. Schlögl, K., Schlögl, R. (1964). "Über pharmakodynamisch wirksame 3,4,5-Trimethoxybenzoate und verwandte Ester von symmetrischen Bis-hydroxyalkylpiperazinen und-dialkylpolymethylendiaminen". Monatshefte für Chemie. 95 (3): 922–941. doi:10.1007/BF00908805.


This article is issued from Wikipedia. The text is licensed under Creative Commons - Attribution - Sharealike. Additional terms may apply for the media files.