![]() | |
![]() | |
Names | |
---|---|
Preferred IUPAC name
(5Z,8Z,11Z,14Z,17Z)-Icosa-5,8,11,14,17-pentaenoic acid | |
Other names
(5Z,8Z,11Z,14Z,17Z)-5,8,11,14,17-eicosapentaenoic acid | |
Identifiers | |
3D model (JSmol) |
|
3DMet | |
1714433 | |
ChEBI | |
ChEMBL | |
ChemSpider | |
DrugBank | |
ECHA InfoCard | 100.117.069 |
KEGG | |
PubChem CID |
|
UNII | |
CompTox Dashboard (EPA) |
|
| |
| |
Properties | |
C20H30O2 | |
Molar mass | 302.451 g/mol |
Hazards | |
GHS labelling: | |
![]() | |
Danger | |
H314 | |
P260, P264, P280, P301+P330+P331, P303+P361+P353, P304+P340, P305+P351+P338, P310, P321, P363, P405, P501 | |
Except where otherwise noted, data are given for materials in their standard state (at 25 °C [77 °F], 100 kPa).
Infobox references |
Eicosapentaenoic acid (EPA; also icosapentaenoic acid) is an omega-3 fatty acid. In physiological literature, it is given the name 20:5(n-3). It also has the trivial name timnodonic acid. In chemical structure, EPA is a carboxylic acid with a 20-carbon chain and five cis double bonds; the first double bond is located at the third carbon from the omega end.
EPA is a polyunsaturated fatty acid (PUFA) that acts as a precursor for prostaglandin-3 (which inhibits platelet aggregation), thromboxane-3, and leukotriene-5 eicosanoids. EPA is both a precursor and the hydrolytic breakdown product of eicosapentaenoyl ethanolamide (EPEA: C22H35NO2; 20:5,n-3).[1] Although studies of fish oil supplements, which contain both docosahexaenoic acid (DHA) and EPA, have failed to support claims of preventing heart attacks or strokes,[2][3][4] a recent multi-year study of Vascepa (ethyl eicosapentaenoate, the ethyl ester of the free fatty acid), a prescription drug containing only EPA, was shown to reduce heart attack, stroke, and cardiovascular death by 25% relative to a placebo in those with statin-resistant hypertriglyceridemia.[5][6]
Sources
EPA is obtained in the human diet by eating oily fish, e.g., cod liver, herring, mackerel, salmon, menhaden and sardine, various types of edible algae, or by taking supplemental forms of fish oil or algae oil. It is also found in human breast milk.
Fish, like most vertebrates, can synthesize very little EPA from dietary alpha-linolenic acid (ALA).[7] Because of this extremely low conversion rate, fish primarily obtain it from the algae they consume.[8] It is available to humans from some non-animal sources (e.g., commercially, from Yarrowia lipolytica,[9] and from microalgae such as Nannochloropsis oculata, Monodus subterraneus, Chlorella minutissima and Phaeodactylum tricornutum,[10][11] which are being developed as a commercial source).[12] EPA is not usually found in higher plants, but it has been reported in trace amounts in purslane.[13] In 2013, it was reported that a genetically modified form of the plant camelina produced significant amounts of EPA.[14][15]
The human body converts a portion of absorbed alpha-linolenic acid (ALA) to EPA. ALA is itself an essential fatty acid, and humans need an appropriate supply of it. The efficiency of the conversion of ALA to EPA, however, is much lower than the absorption of EPA from food containing it. Because EPA is also a precursor to docosahexaenoic acid (DHA), ensuring a sufficient level of EPA on a diet containing neither EPA nor DHA is harder both because of the extra metabolic work required to synthesize EPA and because of the use of EPA to metabolize into DHA. Medical conditions like diabetes or certain allergies may significantly limit the human body's capacity for metabolization of EPA from ALA.
Forms
Commercially available dietary supplements are most often derived from fish oil and are typically delivered in the triglyceride, ethyl ester, or phospholipid form of EPA. There is debate among supplement manufacturers about the relative advantages and disadvantages of the different forms. One form found naturally in algae, the polar lipid form, has been shown to have improved bioavailability over the ethyl ester or triglyceride form.[16] Similarly, DHA or EPA in the lysophosphatidylcholine (LPC) form was found to be more efficient than triglyceride and phosphatidylcholines (PC) in a 2020 study.[17]
Base | EPA |
---|---|
Ethyl ester | EPA ethyl ester |
Lysophosphatidylcholine (LPC, or lysoPC) | LPC-EPA, or lysoPC-EPA |
Phosphatidylcholine (PC) | EPA-PC |
Phospholipid (PL) | EPA-PL |
Triglyceride (TG) or triacylglycerol (TAG) | EPA-TG, or EPA-TAG |
Re-esterified triglyceride (rTG), or re-esterified triacylglycerol (rTAG) | EPA rTG, or r-TAG |
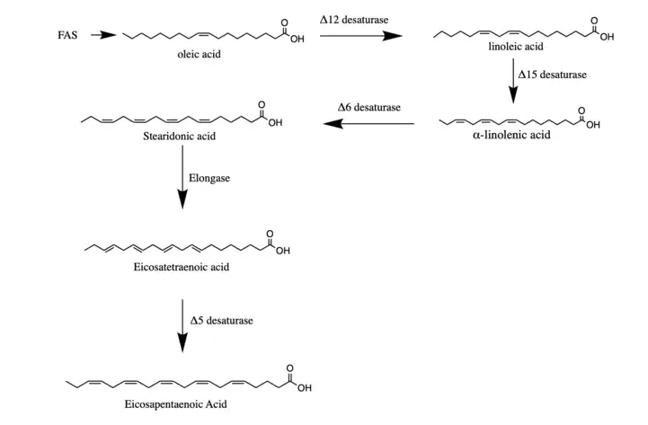
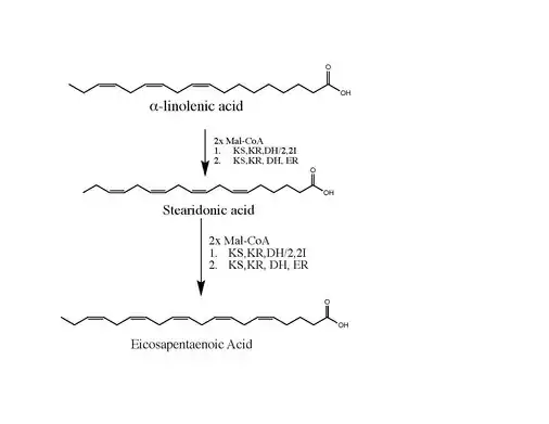
Biosynthesis of Eicosapentaenoic Acid
The biosynthesis of Eicosapentaenoic acid (EPA) in prokaryotes and eukaryotes involves polyketide synthase (PKS). The polyketide pathway includes six enzymes namely, 3-ketoacyl synthase (KS), 2 ketoacyl-ACP-reductase(KR), dehydrase (DH), enoyl reductase (ER), dehydratase/2-trans 3-cos isomerase (DH/2,3I), dehydratase/2-trans, and 2-cis isomerase(DH/2,2I). The biosynthesis of EPA varies in marine species, but most of the marine species’ ability to convert C18 PUFA to LC-PUFA is dependent on the fatty acyl desaturase and elongase enzymes. The molecule basis of the enzymes will dictate where the double bond is formed on the resulting molecule.[18]
Here is an overview of the possible biosynthesis pathways of EPA from fatty acid synthesis (FAS). The reactions are mediated by desaturases enzymes with Δx specificity and elongated by elongases of fatty acid chains.

The proposed polyketide synthesis pathway of EPA in Shewanella is a repetitive reaction of reduction, dehydration, and condensation that uses acetyl coA and malonyl coA as building blocks. The mechanism of α-linolenic acid to EPA involves the condensation of malonyl-CoA to the pre-existing α-linolenic acid by KS. The resulting structure is converted by NADPH dependent reductase, KR, to form an intermediate that is dehydrated by the DH enzyme. The final step is the NADPH-dependent reduction of a double bond in trans-2-enoly-ACP via ER enzyme activity. The process is repeated to form EPA.[19]
_EPA.pdf.jpg.webp)
Clinical significance

The US National Institute of Health's MedlinePlus lists medical conditions for which EPA (alone or in concert with other ω-3 sources) is known or thought to be an effective treatment.[20] Most of these involve its ability to lower inflammation.
Intake of large doses (2.0 to 4.0 g/day) of long-chain omega-3 fatty acids as prescription drugs or dietary supplements are generally required to achieve significant (> 15%) lowering of triglycerides, and at those doses the effects can be significant (from 20% to 35% and even up to 45% in individuals with levels greater than 500 mg/dL).
Dietary supplements containing EPA and DHA lower triglycerides in a dose dependent manner; however, DHA appears to raise low-density lipoprotein (the variant which drives atherosclerosis, sometimes inaccurately called "bad cholesterol") and LDL-C values (a measurement/estimate of the cholesterol mass within LDL-particles), while EPA does not. This effect has been seen in several meta-analyses that combined hundreds of individual clinical trials in which both EPA and DHA were part of a high dose omega-3 supplement, but it is when EPA and DHA are given separately that the difference can be seen clearly.[21][22] For example, in a study by Schaefer and colleagues of Tufts Medical School, patients were given either 600 mg/day DHA alone, 600 or 1800 mg/day EPA alone, or placebo for six weeks. The DHA group showed a significant 20% drop in triglycerides and an 18% increase in LDL-C, but in the EPA groups modest drops in triglyceride were not considered statistically significant and no changes in LDL-C levels were found with either dose.[23]
Ordinary consumers commonly obtain EPA and DHA by from foods such as fatty fish1, fish oil dietary supplements,2 and less commonly from algae oil supplements3 in which the omega-3 doses are lower than those in clinical experiments. A Cooper Center Longitudinal Study that followed 9253 healthy men and women over 10 years revealed that those who took fish oil supplements did not see raised LDL-C levels.[24] In fact, there was a very slight decrease of LDL-C which was statistically significant but too small to be of any clinical significance. These individuals took fish oil supplements of their own choosing, and it should be recognized that the amounts and ratios of EPA and DHA vary according to the source of fish oil.
Omega-3 fatty acids, particularly EPA, have been studied for their effect on autistic spectrum disorder (ASD). Some have theorized that, since omega-3 fatty acid levels may be low in children with autism, supplementation might lead to an improvement in symptoms. While some uncontrolled studies have reported improvements, well-controlled studies have shown no statistically significant improvement in symptoms as a result of high-dose omega-3 supplementation.[25][26]
In addition, studies have shown that omega-3 fatty acids may be useful for treating depression.[27][28]
EPA and DHA ethyl esters (all forms) may be absorbed less well, thus work less well, when taken on an empty stomach or with a low-fat meal.[29]
References
- ↑ Lucanic M, Held JM, Vantipalli MC, Klang IM, Graham JB, Gibson BW, Lithgow GJ, Gill MS (May 2011). "N-acylethanolamine signalling mediates the effect of diet on lifespan in Caenorhabditis elegans". Nature. 473 (7346): 226–9. Bibcode:2011Natur.473..226L. doi:10.1038/nature10007. PMC 3093655. PMID 21562563.
- ↑ Zimmer C (September 17, 2015). "Inuit Study Adds Twist to Omega-3 Fatty Acids' Health Story". The New York Times. Archived from the original on January 9, 2019. Retrieved October 11, 2015.
- ↑ O'Connor A (March 30, 2015). "Fish Oil Claims Not Supported by Research". The New York Times. Archived from the original on May 28, 2018. Retrieved October 11, 2015.
- ↑ Grey A, Bolland M (March 2014). "Clinical trial evidence and use of fish oil supplements". JAMA Internal Medicine. 174 (3): 460–2. doi:10.1001/jamainternmed.2013.12765. PMID 24352849. Archived from the original on 2016-06-08. Retrieved 2015-10-12.
- ↑ Bhatt DL, Steg PG, Miller M, Brinton EA, Jacobson TA, Ketchum SB, Doyle RT, Juliano RA, Jiao L, Granowitz C, Tardif JC, Ballantyne CM (January 3, 2019). "Cardiovascular Risk Reduction with Icosapent Ethyl for Hypertriglyceridemia". New England Journal of Medicine. 380 (1): 11–22. doi:10.1056/NEJMoa1812792. PMID 30415628.
- ↑ "Vascepa® (icosapent ethyl) 26% Reduction in Key Secondary Composite Endpoint of Cardiovascular Death, Heart Attacks and Stroke Demonstrated in REDUCE-IT™". November 10, 2018. Archived from the original on May 23, 2019. Retrieved January 21, 2019.
- ↑ Committee on the Nutrient Requirements of Fish and Shrimp; National Research Council (2011). Nutrient requirements of fish and shrimp. Washington, DC: The National Academies Press. ISBN 978-0-309-16338-5.
- ↑ Bishop-Weston Y. "Plant based sources of vegan & vegetarian Docosahexaenoic acid – DHA and Eicosapentaenoic acid EPA & Essential Fats". Archived from the original on 2013-05-22. Retrieved 2008-08-05.
- ↑ Xie, Dongming; Jackson, Ethel N.; Zhu, Quinn (February 2015). "Sustainable source of omega-3 eicosapentaenoic acid from metabolically engineered Yarrowia lipolytica: from fundamental research to commercial production". Applied Microbiology and Biotechnology. 99 (4): 1599–1610. doi:10.1007/s00253-014-6318-y. ISSN 0175-7598. PMC 4322222. PMID 25567511.
- ↑ Vazhappilly R, Chen F (1998). "Eicosapentaenoic acid and docosahexaenoic acid production potential of microalgae and their heterotrophic growth". Journal of the American Oil Chemists' Society. 75 (3): 393–397. doi:10.1007/s11746-998-0057-0. S2CID 46917269.
- ↑ Ratha SK, Prasanna R (February 2012). "Bioprospecting microalgae as potential sources of "Green Energy"—challenges and perspectives". Applied Biochemistry and Microbiology. 48 (2): 109–125. doi:10.1134/S000368381202010X. PMID 22586907. S2CID 18430041.
- ↑ Halliday J (12 January 2007). "Water 4 to introduce algae DHA/EPA as food ingredient". Archived from the original on 2007-01-16. Retrieved 2007-02-09.
- ↑ Simopoulos AP (2002). "Omega-3 fatty acids in wild plants, nuts and seeds" (PDF). Asia Pacific Journal of Clinical Nutrition. 11 (Suppl 2): S163–73. doi:10.1046/j.1440-6047.11.s.6.5.x. Archived from the original (PDF) on 2008-12-17.
- ↑ Ruiz-Lopez N, Haslam RP, Napier JA, Sayanova O (January 2014). "Successful high-level accumulation of fish oil omega-3 long-chain polyunsaturated fatty acids in a transgenic oilseed crop". The Plant Journal. 77 (2): 198–208. doi:10.1111/tpj.12378. PMC 4253037. PMID 24308505.
- ↑ Coghlan A (4 January 2014). "Designed plant oozes vital fish oils". New Scientist. 221 (2950): 12. doi:10.1016/s0262-4079(14)60016-6. Archived from the original on 1 June 2015. Retrieved 26 August 2017.
- ↑ Kagan, M. L.; West, A. L.; Zante, C.; Calder, P. C. (2013). "Acute appearance of fatty acids in human plasma--a comparative study between polar-lipid rich oil from the microalgae Nannochloropsis oculata and krill oil in healthy young males". Lipids in Health and Disease. 12: 102. doi:10.1186/1476-511X-12-102. PMC 3718725. PMID 23855409.
- ↑ Sugasini, D; Yalagala, PCR; Goggin, A; Tai, LM; Subbaiah, PV (December 2019). "Enrichment of brain docosahexaenoic acid (DHA) is highly dependent upon the molecular carrier of dietary DHA: lysophosphatidylcholine is more efficient than either phosphatidylcholine or triacylglycerol". The Journal of Nutritional Biochemistry. 74: 108231. doi:10.1016/j.jnutbio.2019.108231. PMC 6885117. PMID 31665653.
- ↑ Monroig, Óscar; Tocher, Douglas; Navarro, Juan (2013-10-21). "Biosynthesis of Polyunsaturated Fatty Acids in Marine Invertebrates: Recent Advances in Molecular Mechanisms". Marine Drugs. 11 (10): 3998–4018. doi:10.3390/md11103998. PMC 3826146. PMID 24152561.
- ↑ Moi, Ibrahim Musa; Leow, Adam Thean Chor; Ali, Mohd Shukuri Mohamad; Rahman, Raja Noor Zaliha Raja Abd.; Salleh, Abu Bakar; Sabri, Suriana (July 2018). "Polyunsaturated fatty acids in marine bacteria and strategies to enhance their production". Applied Microbiology and Biotechnology. 102 (14): 5811–5826. doi:10.1007/s00253-018-9063-9. PMID 29749565. S2CID 13680225.
- ↑ NIH Medline Plus. "MedlinePlus Herbs and Supplements: Omega-3 fatty acids, fish oil, alpha-linolenic acid". Archived from the original on February 8, 2006. Retrieved February 14, 2006.
- ↑ AbuMweis, S; Jew, S; Tayyem, R; Agraib, L (February 2018). "Eicosapentaenoic acid and docosahexaenoic acid containing supplements modulate risk factors for cardiovascular disease: a meta-analysis of randomised placebo-control human clinical trials". Journal of Human Nutrition and Dietetics. 31 (1): 67–84. doi:10.1111/jhn.12493. PMID 28675488. S2CID 8793334.
- ↑ Chen, H; Deng, G; Zhou, Q; Chu, X; Su, M; Wei, Y; Li, L; Zhang, Z (26 March 2020). "Effects of eicosapentaenoic acid and docosahexaenoic acid versus α-linolenic acid supplementation on cardiometabolic risk factors: a meta-analysis of randomized controlled trials". Food & Function. 11 (3): 1919–1932. doi:10.1039/c9fo03052b. PMID 32175534. S2CID 212730542.
- ↑ Asztalos, IB; Gleason, JA; Sever, S; Gedik, R; Asztalos, BF; Horvath, KV; Dansinger, ML; Lamon-Fava, S; Schaefer, EJ (November 2016). "Effects of eicosapentaenoic acid and docosahexaenoic acid on cardiovascular disease risk factors: a randomized clinical trial". Metabolism: Clinical and Experimental. 65 (11): 1636–1645. doi:10.1016/j.metabol.2016.07.010. PMID 27733252.
- ↑ Harris, WS; Leonard, D; Radford, NB; Barlow, CE; Steele, MR; Farrell, SW; Pavlovic, A; Willis, BL; DeFina, LF (January 2021). "Increases in erythrocyte DHA are not associated with increases in LDL-cholesterol: Cooper center longitudinal study". Journal of Clinical Lipidology. 15 (1): 212–217. doi:10.1016/j.jacl.2020.11.011. PMID 33339757. S2CID 229325648.
- ↑ Bent S, Bertoglio K, Hendren RL (August 2009). "Omega-3 fatty acids for autistic spectrum disorder: a systematic review". Journal of Autism and Developmental Disorders. 39 (8): 1145–54. doi:10.1007/s10803-009-0724-5. PMC 2710498. PMID 19333748.
- ↑ Mankad D, Dupuis A, Smile S, Roberts W, Brian J, Lui T, Genore L, Zaghloul D, Iaboni A, Marcon PM, Anagnostou E (2015-03-21). "A randomized, placebo controlled trial of omega-3 fatty acids in the treatment of young children with autism". Molecular Autism. 6: 18. doi:10.1186/s13229-015-0010-7. PMC 4367852. PMID 25798215.
- ↑ Freeman, Marlene P.; Hibbeln, Joseph R.; Wisner, Katherine L.; Davis, John M.; Mischoulon, David; Peet, Malcolm; Keck, Paul E.; Marangell, Lauren B.; Richardson, Alexandra J.; Lake, James; Stoll, Andrew L. (December 2006). "Omega-3 fatty acids: evidence basis for treatment and future research in psychiatry". The Journal of Clinical Psychiatry. 67 (12): 1954–1967. doi:10.4088/jcp.v67n1217. ISSN 1555-2101. PMID 17194275. Archived from the original on 2020-09-20. Retrieved 2022-10-13.
- ↑ Ilardi, Stephen (28 April 2015). "Therapeutic Lifestyle Change. A new treatment for depression". Therapeutic Lifestyle Change (TLC). Archived from the original on 9 November 2019. Retrieved 9 November 2019.
We were never designed for the sedentary, indoor, sleep-deprived, socially-isolated, fast-food-laden, frenetic pace of modern life.
- ↑ Jacobson TA, Maki KC, Orringer CE, Jones PH, Kris-Etherton P, Sikand G, La Forge R, Daniels SR, Wilson DP, Morris PB, Wild RA, Grundy SM, Daviglus M, Ferdinand KC, Vijayaraghavan K, Deedwania PC, Aberg JA, Liao KP, McKenney JM, Ross JL, Braun LT, Ito MK, Bays HE, Brown WV, Underberg JA (2015). "National Lipid Association Recommendations for Patient-Centered Management of Dyslipidemia: Part 2". Journal of Clinical Lipidology. 9 (6 Suppl): S1–122.e1. doi:10.1016/j.jacl.2015.09.002. PMID 26699442.
Notes
- Cooked salmon contain 500–1,500 mg DHA and 300–1,000 mg EPA per 100 grams of fish. See page: Salmon as food.
- Omega-3 dietary oil supplements have no standard doses and generally salmon oil has more DHA than EPA while other white fishes have more EPA than DHA. One producer, Trident Food's Pure Alaska, for example reports per serving DHA 220 mg and EPA 180 mg for their salmon oil (total omega-3 = 600 mg), but DHA 144 mg and EPA 356 mg for pollock fish oil (total omega-3 = 530 mg). Equivalent products from another producer, Fish Oils, Puritan's Pride, reports DHA 180 mg and EPA 150 mg for their salmon oil product (total omega-3 = 420 mg), but DHA 204 mg and EPA 318 mg for fish oil derived from anchovy, sardine, and mackerel (total omega-3 = 600 mg). For information and comparison purposes only, no endorsements are implied.
- Many plant sources of omega-3s are rich in ALA but completely lack EPA and DHA. The exception is algae derived oils. Because there are more commercially-grown algae sources of DHA than EPA, algae omega-3 supplements typically contain more DHA than EPA. For example, Nordic Naturals reports per serving DHA 390 mg and EPA 195 mg (total omega-3 = 715 mg), Calgee reports DHA 300 mg and EPA 150 mg (total omega-3 = 550 mg) and so on, but iwi reports EPA 250 mg (total omega-3 = 254 mg). For information and comparison purposes only, no endorsements are implied.
External links
- EPA bound to proteins in the PDB
- Eicosapentaenoyl Ethanolamide; Anandamide (20:5, n-3); EPEA. - PubChem