Granatin A
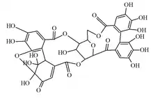
Chemical structure of granatin A
Names
IUPAC name
6,7,8,11,12,13,25,26,30,30,31,37-Dodecahydroxy-17,21,36,38,39-pentaoxaoctacyclo[18.16.1.12,19.127,31.04,9.010,15.023,28.029,34]nonatriaconta-4,6,8,10,12,14,23,25,27,33-decaene-3,16,22,32,3 5-pentone
Identifiers
3D model (JSmol)
ChemSpider
  • InChI=1S/C34H24O22/c35-10-1-6-15(23(43)20(10)40)16-7(2-11(36)21(41)24(16)44)30(46)52-5-13-26-25(45)29(28(53-13)19(6)39)55-32(48)9-4-14(38)34(51)33(49,50)18(9)17-8(31(47)54-26)3-12(37)22(42)27(17)56-34/h1-4,13,18,25-26,28-29,35-37,40-45,49-51H,5H2
    Key: BEAQEKRAXFQCBO-UHFFFAOYSA-N
  • C1C2C3C(C(C(O2)C(=O)C4=CC(=C(C(=C4C5=C(C(=C(C=C5C(=O)O1)O)O)O)O)O)O)OC(=O)C6=CC(=O)C7(C(C6C8=C(O7)C(=C(C=C8C(=O)O3)O)O)(O)O)O)O
Properties
C34H24O22
Molar mass 784.54 g/mol
Except where otherwise noted, data are given for materials in their standard state (at 25 °C [77 °F], 100 kPa).
Infobox references

Granatin A is an ellagitannin found in the pericarp of Punica granatum (pomegranate).[1] It is a weak carbonic anhydrase inhibitor.[1]

References

  1. 1 2 Satomi, H.; Umemura, K.; Ueno, A.; Hatano, T.; Okuda, T.; Noro, T. (1993). "Carbonic anhydrase inhibitors from the pericarps of Punica granatum L". Biological & Pharmaceutical Bulletin. 16 (8): 787–790. doi:10.1248/bpb.16.787. PMID 8220326.
This article is issued from Wikipedia. The text is licensed under Creative Commons - Attribution - Sharealike. Additional terms may apply for the media files.