Isochorismate synthase | |||||||||
---|---|---|---|---|---|---|---|---|---|
![]() Ishochorismate Synthase cartoon view (2 subunits) | |||||||||
Identifiers | |||||||||
EC no. | 5.4.4.2 | ||||||||
CAS no. | 37318-53-9 | ||||||||
Databases | |||||||||
IntEnz | IntEnz view | ||||||||
BRENDA | BRENDA entry | ||||||||
ExPASy | NiceZyme view | ||||||||
KEGG | KEGG entry | ||||||||
MetaCyc | metabolic pathway | ||||||||
PRIAM | profile | ||||||||
PDB structures | RCSB PDB PDBe PDBsum | ||||||||
|
Isochorismate synthase ( EC 5.4.4.2) is an isomerase enzyme that catalyzes the first step in the biosynthesis of vitamin K2 (menaquinone) in Escherichia coli.[1]
Reaction
Isochorismate synthase, belongs to the isomerase enzyme family. More specifically it is classified as an intramolecular transferase because it transfers the hydroxy group of chorismate between carbons.[2]
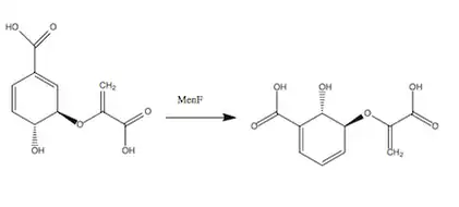
Isochorismate synthase catalyzes the irreversible conversion of chorismate to isochorismate:

Isochorismate synthase is most active at 37 °C and at a pH between 7.5 and 8. It requires Mg2+ as a cofactor, in a concentration between 100 μM and 1 mM.[1] Inhibitors of isochorismate synthase include:
- (4R,5R)-4-hydroxy-5-(1-carboxyvinyloxy)-cyclohex-1-ene carboxylate
- (4R,5R)-4-hydroxy-5-carboxymethoxy-cyclohex-1-enecarboxylate
- (4R,5R)-5-(2-carboxy-allyloxy)-4-hydroxy-cyclohex-1-enecarboxylate
- (4R,5R,6S)-6-ammonio-5-[(1-carboxylatoethenyl)oxy]-4-hydroxycyclohex-1-ene-1-carboxylate
- (4R,5R,7R)-5-(1-carboxy-ethoxy)-4-hydroxy-cyclohex-1-enecarboxylate
- (4R,5R,7S)-5-(1-carboxy-ethoxy)-4-hydroxy-cyclohex-1-enecarboxylate
- (4R,5S,6S)-4-ammonio-5-[(1-carboxylatoethenyl)oxy]-6-hydroxycyclohex-1-ene-1-carboxylate
- (4R,5S,6S)-5-[(1-carboxylatoethenyl)oxy]-4,6-dihydroxycyclohex-1-ene-1-carboxylate[3]
- Cu2+
- Hg2+
- K+
- Mg2+ at concentrations above 1 mM
- N-ethylmaleimide
Nomenclature
The systematic name of this enzyme is isochorismate hydroxymutase, and the common name is isochorismate synthase. Other names for this enzyme include:
- Isochorismate mutase
- Menaquinone-specific isochorismate synthase
- MenF
Pathways

MenF is a gene that codes for the isochorismate synthase found in the menaquinone pathway in Escherichia coli, not to be mistaken for the entC gene that codes for the isochorismate synthase found in the enterobactin pathway in Escherichia coli.[1] This enzyme catalyzes the first step in the biosynthesis of salicylic acid in Pseudomonas aeruginosa.[4] Isochorismate synthase has several other homologs that are found in other organisms. These include:
Enzyme Genes/Enzyme Names | Organisms |
---|---|
ICS |
|
ICS1 |
|
ICS1 gene product |
|
ICS2 |
|
Isochorismate synthase |
|
Isochorismate synthase 1 |
|
Mbtl |
|
PchA |
|
References
- 1 2 3 Daruwala R, Bhattacharyya DK, Kwon O, Meganathan R (May 1997). "Menaquinone (vitamin K2) biosynthesis: overexpression, purification, and characterization of a new isochorismate synthase from Escherichia coli". Journal of Bacteriology. 179 (10): 3133–8. doi:10.1128/jb.179.10.3133-3138.1997. PMC 179089. PMID 9150206.
- ↑ "EC 5.4.4.2". IUBMB. Retrieved 30 November 2014.
- ↑ Payne RJ, Bulloch EM, Toscano MM, Jones MA, Kerbarh O, Abell C (June 2009). "Synthesis and evaluation of 2,5-dihydrochorismate analogues as inhibitors of the chorismate-utilising enzymes". Organic & Biomolecular Chemistry. 7 (11): 2421–9. doi:10.1039/B901694E. PMID 19462053.
- ↑ Gaille (May 9, 2003). "Isochorismate Synthase (PchA), the First and Rate-limiting Enzyme in Salicylate Biosynthesis of Pseudomonas aeruginosa". The Journal of Biological Chemistry. 278 (19): 16893–16898. doi:10.1074/jbc.M212324200.