Lévy (unshifted)
Probability density function
Levy distribution PDF
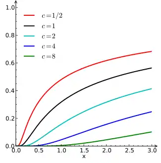
Cumulative distribution function
Levy distribution CDF
Parameters location; scale
Support
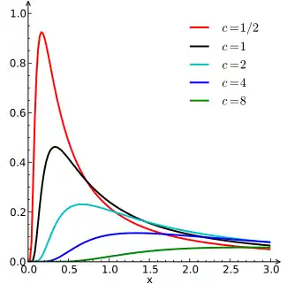
PDF
CDF
Quantile
Mean
Median
Mode
Variance
Skewness undefined
Ex. kurtosis undefined
Entropy

where is the Euler-Mascheroni constant
MGF undefined
CF

In probability theory and statistics, the Lévy distribution, named after Paul Lévy, is a continuous probability distribution for a non-negative random variable. In spectroscopy, this distribution, with frequency as the dependent variable, is known as a van der Waals profile.[note 1] It is a special case of the inverse-gamma distribution. It is a stable distribution.

Definition

The probability density function of the Lévy distribution over the domain is

where is the location parameter and is the scale parameter. The cumulative distribution function is

where is the complementary error function and is the Laplace Function (CDF of the Standard Normal Distribution). The shift parameter has the effect of shifting the curve to the right by an amount , and changing the support to the interval [, ). Like all stable distributions, the Levy distribution has a standard form f(x;0,1) which has the following property:

where y is defined as

The characteristic function of the Lévy distribution is given by

Note that the characteristic function can also be written in the same form used for the stable distribution with and :

Assuming , the nth moment of the unshifted Lévy distribution is formally defined by:

which diverges for all so that the integer moments of the Lévy distribution do not exist (only some fractional moments).

The moment generating function would be formally defined by:

however this diverges for and is therefore not defined on an interval around zero, so the moment generating function is not defined per se.

Like all stable distributions except the normal distribution, the wing of the probability density function exhibits heavy tail behavior falling off according to a power law:

  as  

which shows that Lévy is not just heavy-tailed but also fat-tailed. This is illustrated in the diagram below, in which the probability density functions for various values of c and are plotted on a log–log plot.

Probability density function for the Lévy distribution on a log–log plot


The standard Lévy distribution satisfies the condition of being stable

,

where are independent standard Lévy-variables with .

  • If then
  • If then (inverse gamma distribution)
    Here, the Lévy distribution is a special case of a Pearson type V distribution
  • If (Normal distribution) then
  • If then
  • If then (Stable distribution)
  • If then (Scaled-inverse-chi-squared distribution)
  • If then (Folded normal distribution)

Random sample generation

Random samples from the Lévy distribution can be generated using inverse transform sampling. Given a random variate U drawn from the uniform distribution on the unit interval (0, 1], the variate X given by[1]

is Lévy-distributed with location and scale . Here is the cumulative distribution function of the standard normal distribution.

Applications

Footnotes

  1. "van der Waals profile" appears with lowercase "van" in almost all sources, such as: Statistical mechanics of the liquid surface by Clive Anthony Croxton, 1980, A Wiley-Interscience publication, ISBN 0-471-27663-4, ISBN 978-0-471-27663-0, ; and in Journal of technical physics, Volume 36, by Instytut Podstawowych Problemów Techniki (Polska Akademia Nauk), publisher: Państwowe Wydawn. Naukowe., 1995,

Notes

  1. How to derive the function for a random sample from a Lévy Distribution: http://www.math.uah.edu/stat/special/Levy.html
  2. Rogers, Geoffrey L. (2008). "Multiple path analysis of reflectance from turbid media". Journal of the Optical Society of America A. 25 (11): 2879–2883. Bibcode:2008JOSAA..25.2879R. doi:10.1364/josaa.25.002879. PMID 18978870.
  3. Applebaum, D. "Lectures on Lévy processes and Stochastic calculus, Braunschweig; Lecture 2: Lévy processes" (PDF). University of Sheffield. pp. 37–53.

References

This article is issued from Wikipedia. The text is licensed under Creative Commons - Attribution - Sharealike. Additional terms may apply for the media files.