Latamoxef
Clinical data
AHFS/Drugs.comInternational Drug Names
Routes of
administration
Intramuscular, intravenous
ATC code
Pharmacokinetic data
Protein binding35 to 50%
MetabolismNil
Elimination half-life2 hours
ExcretionMostly renal, unchanged; also biliary
Identifiers
  • (6R,7R)-7-{[carboxy(4-hydroxyphenyl)acetyl]amino}-7-methoxy-3-{[(1-methyl-1H-tetrazol-5-yl)thio]methyl}-8-oxo-5-oxa-1-azabicyclo[4.2.0]oct-2-ene-2-carboxylic acid
CAS Number
PubChem CID
DrugBank
ChemSpider
UNII
KEGG
ChEBI
ChEMBL
CompTox Dashboard (EPA)
ECHA InfoCard100.059.334
Chemical and physical data
FormulaC20H20N6O9S
Molar mass520.47 g·mol−1
3D model (JSmol)
Melting point117 to 122 °C (243 to 252 °F) (dec.)
  • O=C2N1/C(=C(\CO[C@@H]1[C@]2(OC)NC(=O)C(c3ccc(O)cc3)C(=O)O)CSc4nnnn4C)C(=O)O
  • InChI=1S/C20H20N6O9S/c1-25-19(22-23-24-25)36-8-10-7-35-18-20(34-2,17(33)26(18)13(10)16(31)32)21-14(28)12(15(29)30)9-3-5-11(27)6-4-9/h3-6,12,18,27H,7-8H2,1-2H3,(H,21,28)(H,29,30)(H,31,32)/t12?,18-,20+/m1/s1 checkY
  • Key:JWCSIUVGFCSJCK-CAVRMKNVSA-N checkY
 ☒NcheckY (what is this?)  (verify)

Latamoxef (or moxalactam) is an oxacephem antibiotic usually grouped with the cephalosporins. In oxacephems such as latamoxef, the sulfur atom of the cephalosporin core is replaced with an oxygen atom.

Latamoxef has been associated with prolonged bleeding time, and several cases of coagulopathy, some fatal, were reported during the 1980s.[1][2] Latamoxef is no longer available in the United States. As with other cephalosporins with a methylthiotetrazole side chain, latamoxef causes a disulfiram reaction when mixed with alcohol. Additionally, the methylthiotetrazole side chain inhibits γ-carboxylation of glutamic acid; this can interfere with the actions of vitamin K.

It has been described as a third-generation cephalosporin.[3]

Synthesis

Oxa-substituted third generation cephalosporin antibiotic (oxacephalosporin).

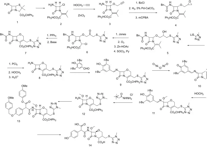
Moxalactam synthesis:[4][5][6][7][8] (excerpt from Lednicer book 3)

The benzhydrol ester of 6-Aminopenicillanic acid (6-APA) is S-chlorinated and treated with base whereupon the intermediate sulfenyl chloride fragments (to 2). Next, displacement with propargyl alcohol in the presence of zinc chloride gives predominanntly the stereochemistry represented by diastereoisomer 3. The side chain is protected as the phenylacetylamide; the triple bond is partially reduced with a 5% Pd-CaCO3 (Lindlar catalyst) and then epoxidized with mCPBA to give 4. The epoxide is opened at the least hindered end with 1-methyl-1H-tetrazole-5-thiol to put in place the future C-3 side chain and give intermediate 5. Jones oxidation followed in turn by ozonolysis (reductive work-up with zinc-AcOH) and reaction with SOCl2 and pyridine give halide 6. The stage is now wet for intramolecular Wittig reaction. Displacement with PPh3 and Wittig olefination gives 1-oxacephem 7. Next a sequence is undertaken of side chain exchange and introduction of a 7-methoxyl group analogous to that which is present in cephamycins and gives them the enhanced beta-lactamase stability. First 7 is converted to the imino chloride with PCl5 and then to the imino methyl ether (with methanol) and next hydrolyzed to the free amine (8). Imine formation with 3,5-di-t-butyl-4-hydroxybenzaldehyde is next carried out leading to 9. Oxidation with nickel(III) oxide gives iminoquinone methide 10, to which methanol is added in a conjugate sense and in the sterechemistry represented by formula 11. The imine is exchanged with Girard's reagent T to give 12, and this is acylated by a suitable protected arylmalonate, as the hemiester hemiacid chloride so as to give 11. Deblocking with aluminium chloride and anisole gives moxalactam 14.

References

  1. Weitekamp MR, Aber RC (January 1983). "Prolonged bleeding times and bleeding diathesis associated with moxalactam administration". JAMA. 249 (1): 69–71. doi:10.1001/jama.249.1.69. PMID 6217353.
  2. Brown RB, Klar J, Lemeshow S, Teres D, Pastides H, Sands M (November 1986). "Enhanced bleeding with cefoxitin or moxalactam. Statistical analysis within a defined population of 1493 patients". Archives of Internal Medicine. 146 (11): 2159–2164. doi:10.1001/archinte.146.11.2159. PMID 3778044.
  3. Salem RR, McIndoe A, Matkin JA, Lidou AC, Clarke A, Wood CB (June 1987). "The hematologic effects of latamoxef sodium when used as a prophylaxis during surgical treatment". Surgery, Gynecology & Obstetrics. 164 (6): 525–529. PMID 3296254.
  4. DE 2713370, Nagata W, Narisada M, "1-Oxadethiacephalosporine, Verfahren zu Arzneimittel [1-oxadethiacephalosporins, procedure for medicinal products]", published 1977-09-29, assigned to Shionogi & Co. Ltd.
  5. US 4138486, Nagata W, Narisada M, issued 1979, assigned to Shionogi
  6. Narisada M, Yoshida T, Onoue H, Ohtani M, Okada T, Tsuji T, et al. (July 1979). "Synthetic studies on beta-lactam antibiotics. Part 101. Synthesis of 7beta-[2-carboxy-2-(4-hydroxyphenyl)acetamido]-7alpha-methoxy-3-[[(1-methyl-1H-tetrazol-5-yl)thio]-methyl]-1-oxa-1-dethia-3-cephem-4-carboxylic acid disodium salt (6059-S) and its related 1-oxacephems". Journal of Medicinal Chemistry. 22 (7): 757–759. doi:10.1021/jm00193a001. PMID 448673.
  7. Otsuka H, Nagata W, Yoshioka M, Narisada M, Yoshida T, Harada Y, Yamada H (1981). "Discovery and development of Moxalactam (6059-S): the chemistry and biology of 1-oxacephems". Medicinal Research Reviews. 1 (3): 217–248. doi:10.1002/med.2610010302. PMID 6213825. S2CID 45623930.
  8. Narisada M, Onoue H, Nagata W (1977). "Synthetic Studies on b-Lactam Antibiotics. Part 5. A Synthesis of 7b-Acylamino-3-methyl-1-oxadethia-3-cephem-4-carboxylic Acids". Heterocycles. 7 (2): 839. doi:10.3987/S-1977-02-0839.
This article is issued from Wikipedia. The text is licensed under Creative Commons - Attribution - Sharealike. Additional terms may apply for the media files.