Pinacidil
Names
IUPAC name
N-cyano-N'-pyridin-4-yl-N''-(1,2,2-trimethylpropyl)guanidine
Identifiers
3D model (JSmol)
ChEMBL
ChemSpider
ECHA InfoCard 100.056.614
UNII
  • InChI=1S/C13H19N5/c1-10(13(2,3)4)17-12(16-9-14)18-11-5-7-15-8-6-11/h5-8,10H,1-4H3,(H2,15,16,17,18) ☒N
    Key: IVVNZDGDKPTYHK-UHFFFAOYSA-N ☒N
  • InChI=1/C13H19N5/c1-10(13(2,3)4)17-12(16-9-14)18-11-5-7-15-8-6-11/h5-8,10H,1-4H3,(H2,15,16,17,18)
    Key: IVVNZDGDKPTYHK-UHFFFAOYAY
  • CC(C(C)(C)C)N=C(NC#N)NC1=CC=NC=C1
Properties
C13H19N5
Molar mass 245.32346
Pharmacology
C02DG01 (WHO)
Except where otherwise noted, data are given for materials in their standard state (at 25 °C [77 °F], 100 kPa).
☒N verify (what is checkY☒N ?)
Infobox references

Pinacidil is a cyanoguanidine drug that opens ATP-sensitive potassium channels producing peripheral vasodilatation of arterioles.[1] It reduces blood pressure and peripheral resistance and produces fluid retention.[2]

Synthesis

Thieme Synthesis:[3][4][5] Patents:[6][7]

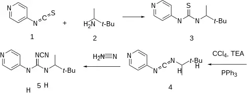
Condensation of 4-isothiocyanotopyridine [76105-84-5] (1) and 3,3-dimethyl-2-butanamine [3850-30-4] (2) gives thiourea [67027-06-9] (3). Treatment of that intermediate with a mixture of triphenylphosphine, carbon tetrachloride, and triethylamine leads to the unsymmetrical carbodiimide, CID:20501933 (4'). Addition of cyanamid affords pinacidil (5).

References

  1. Gollasch M, Bychkov R, Ried C, Behrendt F, Scholze S, Luft FC, Haller H (1995). "Pinacidil relaxes porcine and human coronary arteries by activating ATP-dependent potassium channels in smooth muscle cells". J. Pharmacol. Exp. Ther. 275 (2): 681–92. PMID 7473155.
  2. Reynolds, James Blair; Martindale, William L. (1996). The extra pharmacopoeia (31st ed.). London: Royal Pharmaceutical Society. pp. 2739 pages. ISBN 0-85369-342-0.
  3. Petersen, Hans Joergen; Nielsen, C. Kaergaard; Arrigoni-Martelli, E. (1978). "Synthesis and hypotensive activity of N-alkyl-N-cyano-N'-pyridylguanidines". Journal of Medicinal Chemistry 21 (8): 773–781. doi:10.1021/jm00206a011.
  4. Hansen, E. T.; Petersen, H. J. (2006). "Synthesis ofN-Alkyl-N'-cyano-N″-4-pyridylguanidines from 4-Pyridyldithiocarbamic AcidviaN-Alkyl-N′-4-Pyridylthioureas, orvia4-Pyridylcyaniminothiocarbamic Acid". Synthetic Communications. 14 (13): 1275–1283. doi:10.1080/00397918408076809.
  5. Zhang, Hao; Liu, Rui-Quan; Liu, Ke-Chang; Li, Qi-Bo; Li, Qing-Yang; Liu, Shang-Zhong (2014). "A One-Pot Approach to Pyridyl Isothiocyanates from Amines". Molecules 19(9): 13631–13642. doi:10.3390/molecules190913631.
  6. Hans J. Petersen, USRE31244E (1983 to Leo Pharma AS).
  7. Hans Jorgen Petersen, U.S. Patent 4,057,636 (1977 to Leo Pharma AS).


This article is issued from Wikipedia. The text is licensed under Creative Commons - Attribution - Sharealike. Additional terms may apply for the media files.