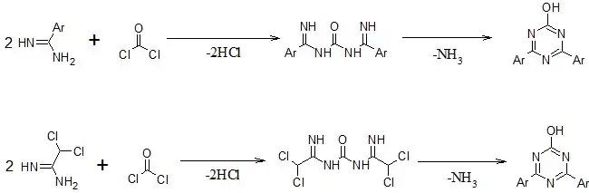
The Pinner triazine synthesis describes the preparation of 2-hydroxyl-4,6-diaryl-s-triazines by reaction of aryl amidines and phosgene. This reaction may be extended to halogenated aliphatic amidines.[1][2][3]

The Pinner Triazine Synthesis reaction pathway

This reaction was first reported by Adolf Pinner in 1890[4]

References

  1. H. Schröder, C. Grundmann, J. Am. Chem. Soc. 78, 2447 (1956)
  2. E. M. Smolin, L. Rapoport, The Chemistry of Heterocyclic Compounds, A. Weissberger, Ed., s-Triazines and Derivatives (Interscience, NY, 1959) p186
  3. Merck Index 14th Ed.
  4. A. Pinner, Chemische Berichte., 23, 2919 (1890)
This article is issued from Wikipedia. The text is licensed under Creative Commons - Attribution - Sharealike. Additional terms may apply for the media files.