Talipexole
Clinical data
Trade namesDomin
Other namesAlefexole
AHFS/Drugs.comInternational Drug Names
Routes of
administration
Oral
ATC code
  • none
Legal status
Legal status
  • In general: ℞ (Prescription only)
Identifiers
  • 6-allyl-5,6,7,8-tetrahydro-4H-[1,3]thiazolo[4,5-d]azepin-2-amine
CAS Number
PubChem CID
IUPHAR/BPS
ChemSpider
UNII
ChEMBL
CompTox Dashboard (EPA)
Chemical and physical data
FormulaC10H15N3S
Molar mass209.31 g·mol−1
3D model (JSmol)
  • n1c2c(sc1N)CCN(CC2)C\C=C

  • DIHYDROCHLORIDE: C=CCN1CCC2=C(CC1)SC(=N2)N
  • InChI=1S/C10H15N3S/c1-2-5-13-6-3-8-9(4-7-13)14-10(11)12-8/h2H,1,3-7H2,(H2,11,12) ☒N
  • Key:DHSSDEDRBUKTQY-UHFFFAOYSA-N ☒N
 ☒NcheckY (what is this?)  (verify)

Talipexole (B-HT920, Domnin) is a dopamine agonist that is marketed as a treatment for Parkinson's Disease in Japan by Boehringer Ingelheim; it was introduced in 1996.[1] As of December 2014 it was not approved for marketing in the US nor in Europe.[2]

Talipexole is a D2 dopamine receptor agonist and interacts with both pre- and post-synaptic receptors. It also is an α2-adrenergic agonist.[3]

The main side effects are drowsiness, dizziness, hallucinations and minor gastrointestinal complaints.[3] In Japan, Ministry of Health, Labour and Welfare mandated in 2008 that Boehringer add a warning to the label concerning the risk of sudden onset of sleep.[4]:15

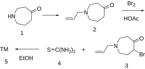
Synthesis

Synthesis:[5] Patents:[6][7] Sino:[8]

The N-alkylation of azepan-4-one [105416-56-6] (1) with allyl bromide in the presence of potassium carbonate gives 1-allyl-azepan-4-one (2). This is halogenated with molecular bromine in acetic acid to give 1-allyl-5-bromohexahydro-4-azepinone (3). The last step involves cyclization with thiourea (4) in refluxing ethanol, completing the synthesis of talipexole (5).

See also

References

  1. PharmaLetter 22 July 1996 First Launch In Japan For Talipexole
  2. EvaluatePharma Database. Page accessed 9 December 2014
  3. 1 2 Benkert O, Müller-Siecheneder F, Wetzel H (1995). "Dopamine agonists in schizophrenia: a review". European Neuropsychopharmacology. 5 Suppl: 43–53. doi:10.1016/0924-977x(95)00022-h. PMID 8775758. S2CID 1600286.
  4. Japanese Ministry of Health, Labour and Welfare March 2008 Pharmaceuticals and Medical Devices Safety Information No. 245
  5. Serradell, M.N.; Blancafort, P.; Castaner, J.; Thorpe, P.J. Drugs Fut 1980,5(10),481.
  6. Gerhart Dipl-Chem Dr Griss, 3 More » idem, DE 2040510 (1972 to Thomae Gmbh Dr K).
  7. G Griss, M Kleemann, W Grell, H Ballhause, U.S. Patent 3,804,849 (1974 to Boehringer Sohn Ingelheim
  8. Deng Xianglin, et al. CN 104031072 (2014 to Chongqing Zen Pharmaceutical Co Ltd.).
This article is issued from Wikipedia. The text is licensed under Creative Commons - Attribution - Sharealike. Additional terms may apply for the media files.