Clemizole
Clinical data
ATC code
  • None
Identifiers
  • 1-[(4-Chlorophenyl)methyl]-2-(pyrrolidin-1-ylmethyl)benzimidazole
CAS Number
PubChem CID
ChemSpider
UNII
KEGG
ChEBI
ChEMBL
NIAID ChemDB
CompTox Dashboard (EPA)
ECHA InfoCard100.006.486
Chemical and physical data
FormulaC19H20ClN3
Molar mass325.84 g·mol−1
3D model (JSmol)
  • Clc1ccc(cc1)Cn3c(nc2ccccc23)CN4CCCC4
  • InChI=1S/C19H20ClN3/c20-16-9-7-15(8-10-16)13-23-18-6-2-1-5-17(18)21-19(23)14-22-11-3-4-12-22/h1-2,5-10H,3-4,11-14H2
  • Key:CJXAEXPPLWQRFR-UHFFFAOYSA-N

Clemizole is an H1 agonist.

Synthesis

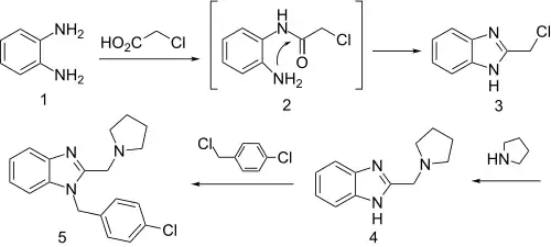
Benzimidazoles substituted with an alkylamine at position 2 have a venerable history as H1 antihistaminic agents. The standard starting material for many benzimidazoles consists of phenylenediamine, or its derivatives.

Clemizole synthesis:[1][2][3]

Reaction of that compound with chloroacetic acid can be rationalized by invoking initial formation of the chloromethyl amide. Imide formation with the remaining free amino group closes the ring to afford 2-chloromethyl benzimidazole (3). Displacement of halogen with pyrrolidine affords the alkylation product. The proton on the fused imidazole nitrogen is then removed by reaction with sodium hydride. Treatment of the resulting anion with α,4-dichlorotoluene gives the H1 antihistaminic agent clemizole (5).

See also

References

  1. Jerchel D, Fischer H, Kracht M (1952). "Zur Darstellung der Benzimidazole". Justus Liebigs Annalen der Chemie. 575 (2): 162–173. doi:10.1002/jlac.19525750204.
  2. GB 703272, Schenck M, Heinz W, issued 1954, assigned to Schering AG
  3. US 2689853, Schenck M, Heinz W, issued 1954, assigned to Schering AG
This article is issued from Wikipedia. The text is licensed under Creative Commons - Attribution - Sharealike. Additional terms may apply for the media files.