Oxatomide
Clinical data
Trade namesTinset, others
Other namesKW-4354; McN-JR 35443; R-35443
AHFS/Drugs.comInternational Drug Names
Routes of
administration
By mouth
ATC code
Legal status
Legal status
  • In general: ℞ (Prescription only)
Identifiers
  • 1-{3-[4-(diphenylmethyl)piperazin-1-yl]propyl}-1,3-dihydro-2H-benzimidazol-2-one
CAS Number
PubChem CID
ChemSpider
UNII
KEGG
ChEBI
ChEMBL
CompTox Dashboard (EPA)
ECHA InfoCard100.056.637
Chemical and physical data
FormulaC27H30N4O
Molar mass426.564 g·mol−1
3D model (JSmol)
  • O=C2Nc1ccccc1N2CCCN5CCN(C(c3ccccc3)c4ccccc4)CC5
  • InChI=1S/C27H30N4O/c32-27-28-24-14-7-8-15-25(24)31(27)17-9-16-29-18-20-30(21-19-29)26(22-10-3-1-4-11-22)23-12-5-2-6-13-23/h1-8,10-15,26H,9,16-21H2,(H,28,32) checkY
  • Key:BAINIUMDFURPJM-UHFFFAOYSA-N checkY
 ☒NcheckY (what is this?)  (verify)

Oxatomide, sold under the brand name Tinset among others, is a antihistamine of the diphenylmethylpiperazine family which is marketed in Europe, Japan, and a number of other countries.[1][2][3][4] It was discovered at Janssen Pharmaceutica in 1975.[5] Oxatomide lacks any anticholinergic effects.[2] In addition to its H1 receptor antagonism, it also possesses antiserotonergic activity similarly to hydroxyzine.[2]

It was patented in 1976 and came into medical use in 1981.[6]

Chemistry

Synthesis

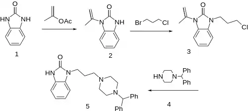
Oxatomide synthesis:[7][8]

Reaction of 2-Benzimidazolinone with isopropenyl acetate leads to the singly protected imidazolone derivative (2). Alkylation of this with 3-chloro-1-bromopropane affords the functionalized derivative (3). Alkylation of the monobenzhydryl derivative of piperazine (4) with 3 gives oxatomide (5), after hydrolytic removal of the protecting group.

References

  1. Elks J (14 November 2014). The Dictionary of Drugs: Chemical Data: Chemical Data, Structures and Bibliographies. Springer. pp. 912–. ISBN 978-1-4757-2085-3.
  2. 1 2 3 Ohmori K, Ishii H, Nito M, Shuto K, Nakamizo N (May 1983). "[Pharmacological studies on oxatomide (KW-4354). (7) Antagonistic effects on chemical mediators]". Nihon Yakurigaku Zasshi. Folia Pharmacologica Japonica (in Japanese). 81 (5): 399–409. doi:10.1254/fpj.81.399. PMID 6138301.
  3. Index Nominum 2000: International Drug Directory. Taylor & Francis. 2000. pp. 768–. ISBN 978-3-88763-075-1.
  4. "Oxatomide". Drugs.com.
  5. Schwartz H (August 1989). Breakthrough: the discovery of modern medicines at Janssen. Skyline Pub. Group. p. 149. ISBN 978-1-56019-100-1.
  6. Fischer J, Ganellin CR (2006). Analogue-based Drug Discovery. John Wiley & Sons. p. 548. ISBN 9783527607495.
  7. DE 2714437, Vandenberk J, Kennis LE, Van der Aa MJ, Van Heertum AH, "Piperazin- und Piperidinderivate, Verfahren zu ihrer Herstellung und Arzneipräparate [Piperazine and piperide derivatives, procedures for their manufacturing and medicinal preparations]", published 1977-10-20, assigned to Janssen Pharmaceutica
  8. US 4250176, Vandenberk J, Kennis LE, Van der Aa MJ, Van Heertum AH, issued 10 February 1981, assigned to Janssen Pharmaceutica NV.
This article is issued from Wikipedia. The text is licensed under Creative Commons - Attribution - Sharealike. Additional terms may apply for the media files.