Clomacran
Clinical data
Trade namesDevryl, Olaxin,[1] Develar[2][3]
ATC code
Legal status
Legal status
Identifiers
  • 3-(2-chloro-9,10-dihydroacridin-9-yl)-N,N-dimethylpropan-1-amine
CAS Number
PubChem CID
ChemSpider
UNII
ChEBI
ChEMBL
CompTox Dashboard (EPA)
Chemical and physical data
FormulaC18H21ClN2
Molar mass300.83 g·mol−1
3D model (JSmol)
Density1.120 g/cm3 [1]
  • CN(C)CCCC1C2=CC=CC=C2NC3=C1C=C(C=C3)Cl
  • InChI=1S/C18H21ClN2/c1-21(2)11-5-7-14-15-6-3-4-8-17(15)20-18-10-9-13(19)12-16(14)18/h3-4,6,8-10,12,14,20H,5,7,11H2,1-2H3 checkY
  • Key:JFRLWWDJCFYFSU-UHFFFAOYSA-N checkY

Clomacran is an antipsychotic drug of the acridines class, developed in the 1970s[2] by the pharmaceutical company Smith, Kline & French under the brand names Devryl and Olaxin.[1]

It was used to treat schizophrenia in the 70s.[6] It was withdrawn from the market in the UK, due to liver toxicity, in 1982.[5][7][8]

Synthesis

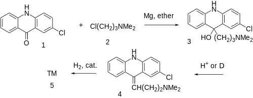
The first step involves FGI of 3-chloro-N,N-dimethylpropylamine Fb: [109-54-6] (2) into the Grignard reagent, i.e. (3-(Dimethylamino)propyl)magnesium chloride [19070-16-7] ([154034-91-0]). The Grignard reaction with 2-chloroacridone [7497-52-1] (1) affords the tertiary carbinol (3). Dehydration by means of acid or simply heat gives the corresponding olefin (4). Catalytic reduction completes the synthesis of the tranquilizer, clomacran (5).

References

  1. 1 2 3 "Clomacran | 5310-55-4". ChemicalBook. Retrieved 2023-08-25.
  2. 1 2 Elks J, Ganellin CR, eds. (1990). Dictionary of Drugs. Boston, MA: Springer US. p. 297. doi:10.1007/978-1-4757-2085-3. ISBN 978-1-4757-2087-7.
  3. "Substâncias e remédios sob controle" [Substances and drugs under control] (PDF). Jornal do Brasil (in Brazilian Portuguese). 1986-11-05. p. 14. Archived (PDF) from the original on 2023-08-08. Retrieved 2023-08-08.
  4. Anvisa (2023-03-31). "RDC Nº 784 - Listas de Substâncias Entorpecentes, Psicotrópicas, Precursoras e Outras sob Controle Especial" [Collegiate Board Resolution No. 784 - Lists of Narcotic, Psychotropic, Precursor, and Other Substances under Special Control] (in Brazilian Portuguese). Diário Oficial da União (published 2023-04-04). Archived from the original on 2023-08-03. Retrieved 2023-08-03.
  5. 1 2 Dixit N, Patel C, Bhavsar M, Patel S, Rawal R, Solanki H (2022-05-02). "Quantitative Structure-activity Relationship (QSAR) study of Liver Toxic Drugs". International Association of Biologicals and Computational Digest. 1: 63–71. doi:10.56588/iabcd.v1i1.17. eISSN 2583-3995.
  6. Pecknold, J. C.; Ban, T. A.; Lehmann, H. E.; Climan, M. (1975). "Clomacran in the treatment of schizophrenic patients: a comparison of two assessment methods". International Journal of Clinical Pharmacology and Biopharmacy. 11 (4): 299–303. ISSN 0340-0026. PMID 1099021.
  7. "Clomacran". PubChem. U.S. National Library of Medicine. Retrieved 2023-08-25.
  8. Andrews EB, Moore N, eds. (2014). Mann's Pharmacovigilance (1st ed.). Wiley. doi:10.1002/9781118820186. ISBN 978-0-470-67104-7.
  9. Zirkle Charles L, U.S. Patent 3,131,190 (1964 to Smith Kline French Lab).
  10. E Anderson & H Graboyes, U.S. Patent 3,781,358 (1973 to SmithKline Beecham Corp).
  11. Elvin L Anderson & Harold Graboyes, U.S. Patent 3,692,834 (1972 to Smith Kline and French Laboratories Ltd, GlaxoSmithKline LLC SmithKline Beecham Corp).
  12. Elvin L Anderson & Harold Graboyes, U.S. Patent 3,919,312 (1975 to SmithKline Beecham Corp).
This article is issued from Wikipedia. The text is licensed under Creative Commons - Attribution - Sharealike. Additional terms may apply for the media files.