Mazindol
Clinical data
Trade namesMazanor, Sanorex
AHFS/Drugs.comMicromedex Detailed Consumer Information
Routes of
administration
Oral
ATC code
Legal status
Legal status
Pharmacokinetic data
Bioavailability93%
MetabolismHepatic
Elimination half-life10–13 hours
ExcretionRenal
Identifiers
  • (±)-5-(4-chlorophenyl)-3,5-dihydro-2H-imidazo[2,1-a]isoindol-5-ol
CAS Number
PubChem CID
IUPHAR/BPS
DrugBank
ChemSpider
UNII
KEGG
ChEMBL
CompTox Dashboard (EPA)
ECHA InfoCard100.040.764
Chemical and physical data
FormulaC16H13ClN2O
Molar mass284.74 g·mol−1
3D model (JSmol)
ChiralityRacemic mixture
  • ClC1=CC=C(C2(C3=CC=CC=C3C4=NCCN42)O)C=C1
  • InChI=1S/C16H13ClN2O/c17-12-7-5-11(6-8-12)16(20)14-4-2-1-3-13(14)15-18-9-10-19(15)16/h1-8,20H,9-10H2 checkY
  • Key:ZPXSCAKFGYXMGA-UHFFFAOYSA-N checkY
  (verify)

Mazindol (brand names Mazanor, Sanorex) is a stimulant drug which is used as an appetite suppressant.[2] It was developed by Sandoz-Wander in the 1960s.[3]

Medical uses

Mazindol is used in short-term (i.e., a few weeks) treatment of obesity, in combination with a regimen of weight reduction based on caloric restriction, exercise, and behavior modification in people with a body mass index greater than 30, or in those with a body mass index greater than 27 in the presence of risk factors such as hypertension, diabetes, or hyperlipidemia. Mazindol is not currently available as a commercially marketed and FDA-regulated prescription agent for the treatment of obesity.

There is a Swiss study investigating its efficacy in treating ADHD.[4]

Additional patented uses include for the treatment of schizophrenia,[5] reducing cravings for cocaine,[6] and for the treatment of neurobehavioral disorders.[7]

Pharmacology

Binding profile[8]
SiteKi (nM)
DATTooltip Dopamine transporter25.9
NETTooltip Norepinephrine transporter2.88
SERT272

Mazindol is a sympathomimetic amine, which is similar to amphetamine. It stimulates the central nervous system, which increases heart rate and blood pressure, and decreases appetite. Sympathomimetic anoretics (appetite suppressants) are used in the short-term treatment of obesity. Their appetite-reducing effect tends to decrease after a few weeks of treatment. Because of this, these medicines are useful only during the first few weeks of a weight-loss program.

Although the mechanism of action of the sympathomimetics in the treatment of obesity is not fully known, these medications have pharmacological effects similar to those of amphetamines. Like other sympathomimetic appetite suppressants, mazindol is thought to act as a reuptake inhibitor of norepinephrine. In addition, it inhibits dopamine and serotonin reuptake. The recommended dosage is 2 mg per day for 90 days in patients 40 kg overweight and under; 4 mg a day in patients more than 50 kg overweight; divided into two doses separated by a 12-hour window between each dose.

Overdose

Symptoms of a mazindol overdose include: restlessness, tremor, rapid breathing, confusion, hallucinations, panic, aggressiveness, nausea, vomiting, diarrhea, an irregular heartbeat, and seizures.

Analogues

An analogue of mazindol was reported that was stated to be less toxic than the parent drug from which it was derived.[9] It is made from Chemrat (Pindone).

QSAR Dialog

The pharmacophore model of mazindol proposed by Singh for the binding of mazindol at the DAT.[lower-alpha 1]

From available QSAR data, the following trends are apparent:[11]

  1. Desoxylation of the tertiary alcohol in mazindol improves DAT and SERT binding without substantially reducing NET affinity. This compound has been called "Mazindane".[12]
  2. Removal of the p-chlorine atom from the phenyl ring of mazindol increases NET affinity and substantially reduces DAT and SERT affinity.
  3. Expansion of the imidazoline ring system in mazindol to the corresponding six-membered homolog increases DAT affinity by ~10 fold.
  4. Replacement of the phenyl moiety with a naphthyl ring system results in a ~50 fold increase in SERT affinity without significant decreases in NET or DAT affinities.
  5. Halogenation of 3' and/or 4' position of the phenyl ring of mazindol results in increased potency at NET, DAT, and SERT.
  6. Fluorination of the 7' position of the tricyclic phenyl ring results in a ~2 fold increase in binding affinity to the DAT.
Mazindol analogs with phenyl ring substitutions[lower-alpha 2]
Compound S. Singh's
alphanumeric
assignation
(name)
R R′ R′′ IC50 (nM)
(Inhibition of [3H]WIN 35428 binding)
IC50 (nM)
(Inhibition of [3H]DA uptake)
Selectivity
uptake/binding
(cocaine)89.1 ± 8208 ± 122.3
(mazindol)HH4′-Cl8.1 ± 1.28.4 ± 1.31.0
384aHHH66.0 ± 8.9124 ± 371.9
384bHH4′-F13.3 ± 1.825.4 ± 2.71.9
384cH7-FH29.7 ± 7.078 ± 462.6
384dHH2′-Cl294 ± 6770 ± 1592.6
384eHH3′-Cl4.3 ± 0.49.2 ± 5.32.1
384fCH3H4′-Cl50.4 ± 5.5106 ± 5.62.1
384gH6-ClH57.2 ± 8.358 ± 6.41.0
384hH7-ClH85.4 ± 1455.170.6
384iH7-F4′-Cl6.5 ± 1.215 ± 92.3
384jH7-Cl4′-F52.8 ± 8.753 ± 181.0
384kHH2′,4′-Cl276.5 ± 1.1192 ± 191.2
384lHH3′,4′-Cl22.5 ± 0.51.4 ± 1.60.6
384mH7,8-Cl24′-Cl13.6 ± 1.5
384nHH2′-Br1340 ± 179
384oHH4′-Br2.6 ± 1.58.6 ± 3.53.3
384pHH4′-I17.2 ± 0.914 ± 6.40.8
Mazindol Ring A homologues[lower-alpha 3]
Compound S. Singh's
alphanumeric
assignation
(name)
R R′ IC50 (nM)
(Inhibition of [3H]WIN 35428 binding)
IC50 (nM)
(Inhibition of [3H]DA uptake)
Selectivity
uptake/binding
388aHH5.8 ± 1.618 ± 113.1
388bH2′-F23.2 ± 1.789 ± 2.83.8
388cH3′-F2.0 ± 0.023.1 ± 1.81.6
388dH4′-F3.2 ± 1.78.5 ± 4.90.4
388eH3′-Cl1.0 ± 0.21.3 ± 0.141.3
388fH4′-Cl1.7 ± 0.21.4 ± 0.350.8
388gCH34′-Cl6.3 ± 4.51.7 ± 1.60.3
389aH5.9 ± 0.111 ± 3.22.0
389b4′-Cl1.5 ± 0.13.4 ± 2.32.3
389c3′,4′-Cl21.7 ± 0.10.26 ± 0.160.2
Miscellaneous mazindol analogues[11]
Structure n R R' R" hSERT hNET hDAT SERT/DAT
Selectivity
NET/DAT
Selectivity
1ClHOH94 ± 324.9 ± 0.543 ± 202.20.1
1ClHH15 ± 56.9 ± 1.56.0 ± 0.72.51.2
1HHOH2140 ± 4502.8 ± 0.92730 ± 1802.90.004
1NaphthylOH1.8 ± 1.34.5 ± 1.566 ± 100.030.07
2ClHOH53 ± 74.9 ± 0.53.7 ± 0.414.31.3
2OHHOH60 ± 191.9 ± 0.1559.0 ± 3.610.03
2OMeHOH94 ± 344.1 ± 1.430.4 ± 2.43.10.1
2-OCH2O-OH83 ± 290.62 ± 0.252.21 ± 0.337.70.3

Chemistry

Tautomers

The hemiaminal (left) and keto (right) tautomers of mazindol.

Mazindol exhibits pH dependent tautomerization between the keto form and the cyclic hemiaminal. Mazindol exists in the tricyclic (-ol) form in neutral media and undergoes protonation to the benzophenone tautomer in acidic media. QSAR studies have indicated that the ability of mazindol to inhibit NE and DA reuptake may be mediated by the protonated (benzophenone) tautomer.[13]


Synthesis

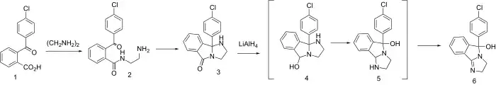
The precursor for mazindol was described in the synthesis of Chlortalidone.

Thieme Synthesis:[14] Patents:[15][16][3][17]

The synthesis of mazindol starts by reaction of a substituted benzoylbenzoic acid (1) with ethylenediamine. The product 3 can be rationalized as being an aminal from the initially formed monoamide 2. This is then subjected to reduction with LiAlH4 and-without isolation-air oxidation. Reduction probably proceeds to the mixed aminal/carbinolamine 4; such a product would be expected to be in equilibrium with the alternate aminal 5. The latter would be expected to predominate because of the greater stability of aldehyde aminals over the corresponding ketone derivatives. Air oxidation of the tetrahydroimidazole to the imidazoline will then remove 5 from the equilibrium. There is thus obtained the anorectic agent mazindol (6). The synthesis of homomazindol (the six-member ring A homologue) is accomplished by substitution of 1,2-diaminoethane with 1,3-diaminopropane.

An alternative synthesis was described:

Mazindol synthesis (alternative):[11]

2-Phenyl-2-Imidazoline [936-49-2] (3) Methyl 4-Chlorobenzoate [1126-46-1] (4)

Research

As of 2016 mazindol was being studied in clinical trials for attention-deficit hyperactivity disorder.[18]

See also

Notes

  1. [10] ←Page #1,012 (88th page of article) Figure 56
  2. [10] ←Page #1,012 (88th page of article) Figure 57 & Page #1,013 (89th page of article) Table 51
  3. [10] ←Page #1,012 (88th page of article) Figure 58 & Page #1,014 (90th page of article) Table 52

References

  1. Anvisa (2023-03-31). "RDC Nº 784 - Listas de Substâncias Entorpecentes, Psicotrópicas, Precursoras e Outras sob Controle Especial" [Collegiate Board Resolution No. 784 - Lists of Narcotic, Psychotropic, Precursor, and Other Substances under Special Control] (in Brazilian Portuguese). Diário Oficial da União (published 2023-04-04). Archived from the original on 2023-08-03. Retrieved 2023-08-16.
  2. Carruba MO, Zambotti F, Vicentini L, Picotti GB, Mantegazza P (1978). "Pharmacology and biochemical profile of a new anorectic drug: mazindol". Cent. Mech. Anorectic Drugs: 145–64.
  3. 1 2 US granted 3597445, Houlihan WJ, Eberle MK, "1H-Isoindole Intermediates", issued 3 August 1971, assigned to Sandoz AG
  4. Grover N (2017-05-31). "Swiss biotech NLS Pharma's ADHD drug succeeds in mid-stage study". Reuters. Retrieved 2021-07-15.
  5. US 5447948, "Dopamine and noradrenergic reuptake inhibitors in treatment of schizophrenia", issued 5 September 1995, assigned to Yale University
  6. US 5217987, Berger SP, "Dopamine uptake inhibitors in reducing substance abuse and/or craving", issued 8 June 1993
  7. WO 2009155139, Kovacs B, Pinegar L, "se of isoindoles for the treatment of neurobehavioral disorders", published 23 December 2009, assigned to Afecta Pharmaceuticals Inc
  8. Rothman RB, Baumann MH, Dersch CM, Romero DV, Rice KC, Carroll FI, Partilla JS (January 2001). "Amphetamine-type central nervous system stimulants release norepinephrine more potently than they release dopamine and serotonin". Synapse. 39 (1): 32–41. doi:10.1002/1098-2396(20010101)39:1<32::AID-SYN5>3.0.CO;2-3. PMID 11071707.
  9. Lemke TL, Cates LA, Steenberg M, Cho YM (August 1975). "Analogs of the anorexic mazindol". Journal of Pharmaceutical Sciences. 64 (8): 1375–8. doi:10.1002/jps.2600640824. PMID 1151711.
  10. 1 2 3 Singh S (March 2000). "Chemistry, design, and structure-activity relationship of cocaine antagonists" (PDF). Chemical Reviews. 100 (3): 925–1024. doi:10.1021/cr9700538. PMID 11749256.
  11. 1 2 3 Houlihan WJ, Ahmad UF, Koletar J, Kelly L, Brand L, Kopajtic TA (September 2002). "Benzo- and cyclohexanomazindol analogues as potential inhibitors of the cocaine binding site at the dopamine transporter". Journal of Medicinal Chemistry. 45 (19): 4110–8. doi:10.1021/jm010301z. PMID 12213054.Houlihan WJ, Kelly L, Pankuch J, Koletar J, Brand L, Janowsky A, Kopajtic TA (September 2002). "Mazindol analogues as potential inhibitors of the cocaine binding site at the dopamine transporter". Journal of Medicinal Chemistry. 45 (19): 4097–109. doi:10.1021/jm010302r. PMID 12213053.
  12. Houlihan WJ, Kelly L (January 2003). "Assessment of mazindane, a pro-drug form of mazindol, in assays used to define cocaine treatment agents". European Journal of Pharmacology. 458 (3): 263–73. doi:10.1016/s0014-2999(02)02791-7. PMID 12504782.
  13. Koe BK (December 1976). "Molecular geometry of inhibitors of the uptake of catecholamines and serotonin in synaptosomal preparations of rat brain". The Journal of Pharmacology and Experimental Therapeutics. 199 (3): 649–661. PMID 994022.
  14. Aeberli P, Eden P, Gogerty JH, Houlihan WJ, Penberthy C (February 1975). "5-aryl-2,3-dihydro-5H-imidazo[2,1-a]isoindol-5-ols. A novel class of anorectic agents". Journal of Medicinal Chemistry. 18 (2): 177–82. doi:10.1021/jm00236a014. PMID 804553.
  15. DE granted 1814540, Houlihan WJ, "Improvements in or Relating to Imidazoisoindole Derivatives", issued 3 July 1969, assigned to Sandoz AG
  16. DE granted 1930488, Houlihan WJ, Eberle MK, "Heterocyclische Verbindungen und Verfahren zu ihrer Herstellung", issued 19 March 1970, assigned to Sandoz AG
  17. US granted 3763178, Sulkowski TS, "Midazolinyl Phenyl Carbonyl Acid Addition Salts and Related Compounds", issued 2 October 1973, assigned to American Home Products
  18. Mattingly GW, Anderson RH (December 2016). "Optimizing outcomes in ADHD treatment: from clinical targets to novel delivery systems". CNS Spectrums. 21 (S1): 45–59. doi:10.1017/S1092852916000808. PMID 28044946. S2CID 24310209.
This article is issued from Wikipedia. The text is licensed under Creative Commons - Attribution - Sharealike. Additional terms may apply for the media files.